Create daily summary file for 2025-09-03
This commit is contained in:
87
daily/2025-09-03.md
Normal file
87
daily/2025-09-03.md
Normal file
@@ -0,0 +1,87 @@
|
|||||||
|
## AI资讯日报 2025/9/3
|
||||||
|
|
||||||
|
> `AI资讯` | `每日早读` | `全网数据聚合` | `前沿科学探索` | `行业自由发声` | `开源创新力量` | `AI与人类未来` | [访问网页版↗️](https://ai.hubtoday.app/)
|
||||||
|
|
||||||
|
|
||||||
|
|
||||||
|
### **今日摘要**
|
||||||
|
|
||||||
|
```
|
||||||
|
谷歌Gemini新功能可深度解析网页,腾讯开源了翻译与3D生成模型。
|
||||||
|
华为SRCA框架通过答案聚类搜索,显著提升AI数学解题的准确率。
|
||||||
|
行业方面,AI搜索正演变为推荐经济,内容策略需转向构建权威信号。
|
||||||
|
Yann LeCun盛赞中国开源贡献,并引发了关于开放科学道路的讨论。
|
||||||
|
同时,与AI高效协作的能力成为新的人才标准,面试也成其试金石。
|
||||||
|
```
|
||||||
|
|
||||||
|
|
||||||
|
|
||||||
|
### 产品与功能更新
|
||||||
|
1. 谷歌Gemini解锁了**URL Context**新功能,让AI告别了对网页内容的"浅尝辄止”,可以直接深度解析高达**34MB**的文档内容 (✧∀✧)。它不再是简单的抓取摘要,而是像人类一样"看见”并理解整个网页,[一些开发者甚至称其为传统RAG的"掘墓人”(AI资讯)](https://towardsdatascience.com/googles-url-context-grounding-another-nail-in-rags-coffin/),预示着基础模型将集成更多外部能力 🚀。这标志着AI应用开发的门槛正在被进一步降低,让复杂的数据处理变得轻而易举 🔥。
|
||||||
|
<br/><br/>
|
||||||
|
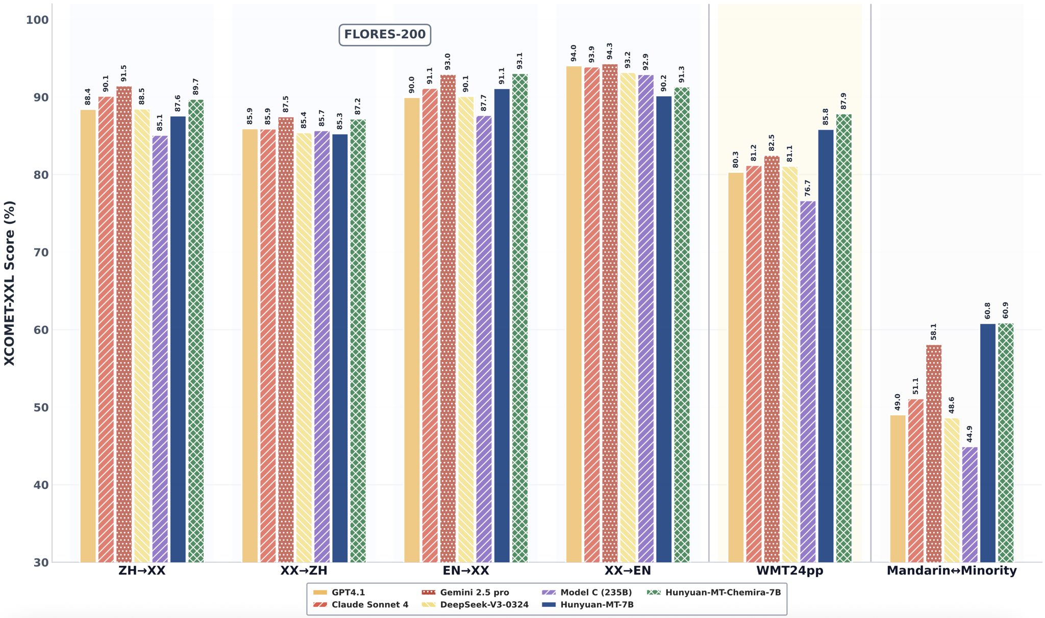
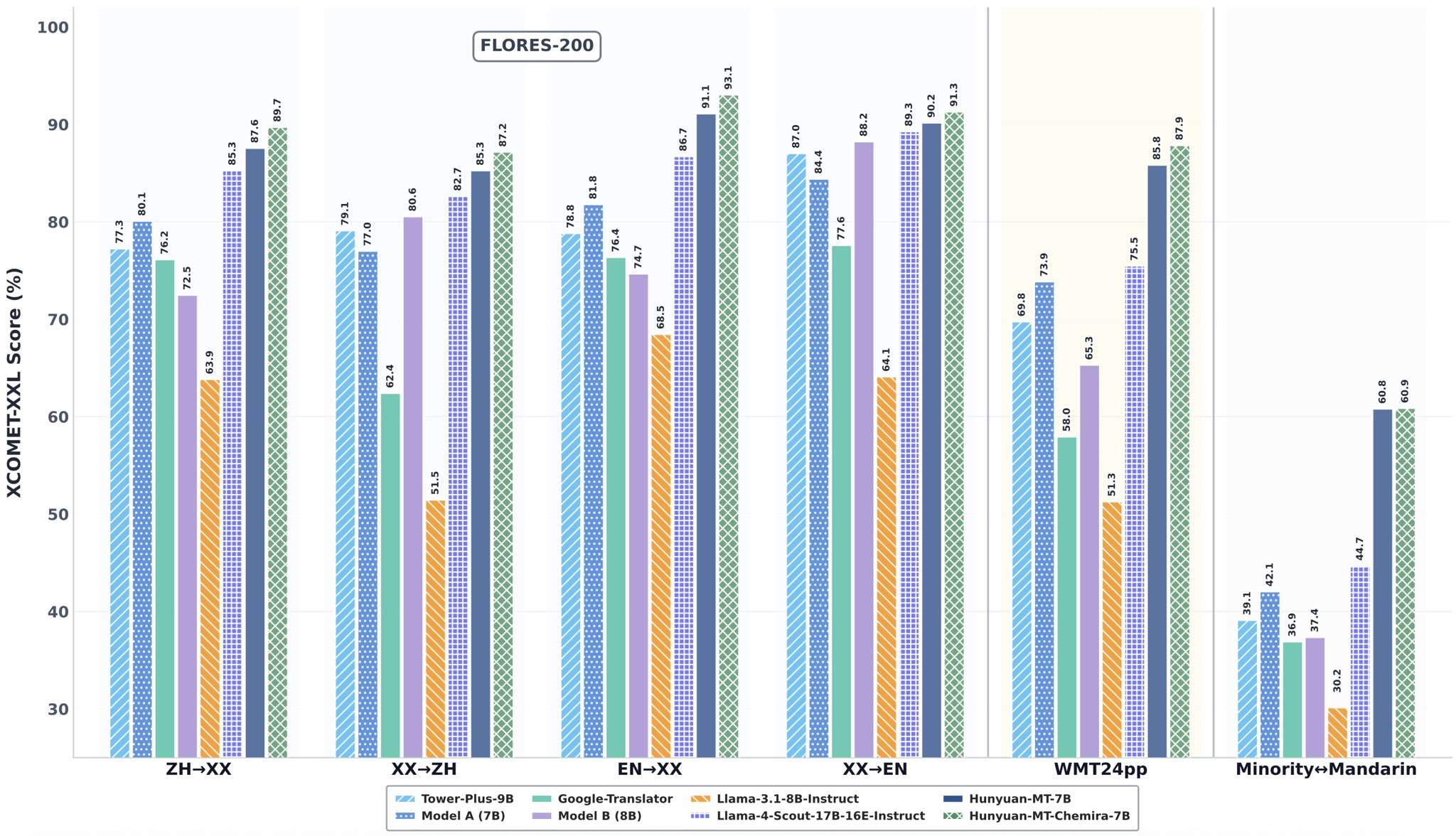
2. 腾讯混元团队祭出大杀器 **Hunyuan-MT**,这款开源翻译模型简直是语言学界的"扫地僧” (o´ω'o)ノ。它不仅在 WMT25 国际翻译大赛上以 **30/31** 的惊人战绩横扫全场,更重要的是,它填补了中文与藏语、维吾尔语等少数民族语言高质量互译的空白,[堪称文化交流的数字桥梁(AI资讯)](https://www.xiaohu.ai/c/a066c4/wmt25-30-31) 🌉。这份成就证明了,即便在7B参数量级,[精巧的训练方法(AI资讯)](https://github.com/Tencent-Hunyuan/Hunyuan-MT/blob/main/Hunyuan_MT_Technical_Report.pdf)也能让模型爆发出超越巨型模型的能量 🔥。
|
||||||
|
<br/><br/><br/>
|
||||||
|
3. 腾讯混元团队再次发力,开源的 **HunyuanWorld-Voyager** 简直是3D创作者的"神笔马良” 🖌️。仅需一张图片,它就能秒速生成一个可供自由漫游的3D世界,其原生3D重建能力让它在[WorldScore排行榜上轻松登顶(AI资讯)](https://www.aibase.com/zh/news/21000),将Gen-3等对手甩在身后 🔥。这不仅是技术的炫技,更是为游戏开发和VR体验开启了[无限想象空间(AI资讯)](https://3d-models.hunyuan.tencent.com/world/),让普通人也能创造自己的虚拟世界 🚀。
|
||||||
|
<br/><br/><video src="https://upload.chinaz.com/video/2025/0902/6389242245452363483874210.mp4" controls="controls" width="100%"></video><br/>
|
||||||
|
|
||||||
|
### 前沿研究
|
||||||
|
1. 大模型解数学题总是一条道走到黑?华为诺亚方舟实验室与港中大等机构联手带来了**SRCA框架**,给AI的推理过程设置了"检查点”,防止它在错误的道路上狂奔 🤔。通过[独特的答案聚类搜索与候补增强技术(AI资讯)](https://arxiv.org/abs/2505.17829),该方法能从被丢弃的中间步骤中抢救出 **19.07%** 的正确答案,简直是给AI配了一颗"后悔药”💊!实验证明,SRCA能让小模型拳打老师傅,[在数学基准测试中(AI资讯)](https://www.jiqizhixin.com/articles/2025-09-02-9)性能甚至超越了70倍参数的大模型 (✧∀✧)。
|
||||||
|
<br/><br/><br/>
|
||||||
|
|
||||||
|
### 行业展望与社会影响
|
||||||
|
1. AI搜索正在重塑流量规则,从过去的"排名游戏”演变为"推荐经济”,核心问题变成了"谁最值得被AI推荐?” 🤔。这意味着企业需要重新思考内容策略,从关注SEO转向构建**权威信号**、产出**AI可读内容**、采取**超具体策略**和维护**声誉网络**四大核心要素。正如[这篇深度分析所指出的(AI资讯)](https://m.okjike.com/originalPosts/68b6691ce5597c28d319d9b4),未来的赢家将是那些赢得AI信任、而非仅仅抢占排名的公司 🚀。
|
||||||
|
<br/><br/>
|
||||||
|
2. AI大神Yann LeCun也来吃瓜了,他转发盛赞美团的 **LongCat-Flash** 模型,并犀利指出一家中国外卖公司在AI领域的贡献,可能已超过了部分闭门造车的美国科技巨头 🤯。LeCun疾呼,如果科学家们不争取重回开放共享的道路,美国AI就要"凉凉”了,[这场关于开源与封闭的讨论(AI资讯)](https://x.com/ylecun/status/1962853047677194402)正变得越来越激烈 🤔。看来,开放科学才是推动世界进步的终极密码,[大家都在关注最新的AI资讯](https://x.com/ylecun/status/1962853047677194402) 💡。
|
||||||
|
<br/><br/>
|
||||||
|
3. 面试时允许使用AI并非坏事,反而可能成为一个绝佳的"试金石”,因为它能迅速区分出谁是真正的思考者,谁只是"复制粘贴”的搬运工 (o´ω'o)ノ。正如[winter的犀利评论所言(AI资讯)](https://x.com/dotey/status/1962747483248849333),大部分人只会把问题直接扔给AI,缺乏拆解和验证能力,暴露出解决复杂问题的能力短板 🤔。未来,如何与AI高效协作,将成为衡量人才能力的关键标准 💡。
|
||||||
|
|
||||||
|
### 开源TOP项目
|
||||||
|
1. 还在为商业远程桌面软件的订阅费头疼吗?快来看看在GitHub上狂揽 ⭐97.3k 星标的 **RustDesk** 吧!它是一款完全开源且可自托管的远程桌面应用,让你轻松掌控自己的数据和连接,是替代 TeamViewer 的绝佳选择 💻。有了[这款神器(AI资讯)](https://github.com/rustdesk/rustdesk),你就能搭建属于自己的安全、免费远程控制中心,告别束缚,拥抱自由 (o´ω'o)ノ。
|
||||||
|
2. 想用代码和WhatsApp好友互动?拥有 ⭐18.2k 星标的 **whatsapp-web.js** 项目就是你的不二之选,它提供了一个强大的Node.js库,能让你像操作浏览器一样与WhatsApp网页版进行交互 🤖。无论是构建聊天机器人、自动化消息,还是进行数据分析,[这个项目库(AI资讯)](https://github.com/pedroslopez/whatsapp-web.js)都为你打开了一扇通往自动化沟通的大门 🔥。快去探索它的无限可能吧!
|
||||||
|
3. 安全圈的朋友们注意了,由社区共同维护的 **nuclei-templates** 模板库(⭐10.7k)是你进行安全扫描的强大武器库 🛡️。它与Nuclei扫描引擎无缝集成,提供了海量用于发现安全漏洞的模板,覆盖各种已知的CVE和安全风险。有了[这个社区驱动的知识库(AI资讯)](https://github.com/projectdiscovery/nuclei-templates),你可以让安全检测工作变得更高效、更全面,时刻走在攻击者的前面 🚀。
|
||||||
|
4. 桌面自动化迎来了一位新玩家 **Bytebot** (⭐3.3k),一个可以通过自然语言命令来操作电脑的AI桌面代理 🦾。它在一个隔离的Linux环境中运行,能理解你的指令并执行各种计算机任务,就像拥有了一位24小时待命的数字助理。想体验未来式的人机交互吗?[不妨来试试这个可自托管的项目(AI资讯)](https://github.com/bytebot-ai/bytebot),让你的双手从重复性工作中解放出来 (✧∀✧)。
|
||||||
|
|
||||||
|
### 社媒分享
|
||||||
|
1. 想一键穿越时空,看看自己从8岁到80岁的模样吗?Flowith团队利用Nano Banana模型打造了一款"人生模拟器”,让你上传头像即可开启一段奇妙的时光之旅 (✧∀✧)。这个创意十足的应用迅速走红,用户纷纷晒出自己"精彩又离谱”的一生,[快来围观这个有趣的人生模拟器(AI资讯)](https://x.com/oran_ge/status/1962860645822701837)!想亲自体验的朋友可以[点击这里开始你的AI人生(AI资讯)](http://flolife.me),看看AI会给你安排怎样的人生剧本 🤔。
|
||||||
|
<br/><br/>
|
||||||
|
2. 独立开发者宝玉分享了他的 **Vibe Coding** 最佳实践,堪称AI时代的敏捷开发新范式,将AI与人类智慧完美结合 (o´ω'o)ノ。第一步,让AI全力冲刺,快速生成一个"一次性”原型来验证需求,代码质量什么的都先不管了;第二步,在需求明确后,人类接管,[进行精心的系统设计和重构(AI资讯)](https://x.com/dotey/status/1962582919874072577),此时AI则退居为高效的"副驾驶” 🚀。这套章法清晰的开发流程,为如何与AI高效协作提供了极佳的范本💡。
|
||||||
|
3. Nano Banana模型最令人头疼的图片比例问题终于被解决了!用户"歸藏”分享了一份详细教程,现在你可以自定义AI生成或修改后的图片比例,让创作自由度大大提升 (✧∀✧)。这个实用的技巧迅速在社区传播开来,让无数创作者直呼"卧槽”,[快来学习这份热门教程(AI资讯)](https://x.com/op7418/status/1962743588481310809)吧!这再次证明了,[社区的力量能够不断完善AI资讯工具(AI资讯)](https://x.com/op7418/status/1962743588481310809),让技术变得更贴近用户需求 🔥。
|
||||||
|
<br/><br/>
|
||||||
|
4. 独立开发者如何免费获取精准流量?用户Yangyi分享了他的实战经验:关键在于主动出击,让别人发现你的产品 (o´ω'o)ノ。他通过在知名KOL的社群中分享自己的产品,成功实现了双赢,让产品迅速曝光给数万人,[这个聪明的增长策略值得学习(AI资讯)](https://x.com/Yangyixxxx/status/1962694414469603614)。这个案例告诉我们,即使是需要邀请码的内测产品,[巧妙的曝光也能带来巨大的关注度(AI资讯)](https://x.com/Yangyixxxx/status/1962694414469603614),关键在于找到合适的渠道和分享价值 🚀。
|
||||||
|
<br/><br/>
|
||||||
|
5. 面对AI生成的大量内容,我们是否感到"不被尊重”?马东锡NLP的观点引发了热议,他认为花几秒生成的垃圾文字,却要读者花费数小时阅读,是一种时间上的不对等 🤔。然而,AI内容也并非都不能看,关键在于区分精华与糟粕,[这场关于AI内容价值的讨论(AI资讯)](https://x.com/dotey/status/1962553118857605449)仍在继续。或许,我们应该学会利用AI作为提升效率的工具,而不是被其产生的海量信息所淹没 🌊。
|
||||||
|
<br/><video src="https://video.twimg.com/ext_tw_video/1962317548692856832/pu/vid/avc1/960x720/e6yrXVq49_tCywY0.mp4?tag=12" controls="controls" width="100%"></video><br/>
|
||||||
|
|
||||||
|
---
|
||||||
|
|
||||||
|
## **AI产品自荐: [AIClient2API ↗️](https://github.com/justlovemaki/AIClient-2-API)**
|
||||||
|
|
||||||
|
### 🌟 AIClient-2-API: 不仅仅是代理,更是你的AI能力中枢!
|
||||||
|
|
||||||
|
你是否幻想过这样一个场景:无论使用哪款AI工具,都能随心所欲地调用最顶尖的大模型,而无需担心接口不兼容或烦人的额度限制?"AIClient-2-API" 将这个幻想变为了现实。它是一个强大的转换器,能将各类AI客户端(如Gemini CLI、Kiro)的授权,巧妙地转化为一个稳定、统一的本地OpenAI API服务。
|
||||||
|
|
||||||
|
我们带来了几个足以改变你工作流的王牌功能:
|
||||||
|
|
||||||
|
🔄 **新增的账号池功能**:还在为单个账号的请求限制而头痛?我们全新开发的账号池功能,允许你配置多个模型账号,实现自动轮询与故障转移。从此,告别单点故障,让你的AI服务拥有企业级的高可用性!
|
||||||
|
|
||||||
|
🧠 **提示词炼金术**:这可能是你见过的最强大的代理功能!你可以轻松**提取、覆盖、甚至追加**流经它的所有系统提示词。这意味着你能为所有接入的工具注入统一的灵魂和规则,实现前所未有的精细化控制。
|
||||||
|
|
||||||
|
🔓 **冲破束缚,自由驰骋**:我们帮你优雅地绕过Gemini免费API的额度瓶颈,更破解了Kiro的潜力,让你能够**免费使用昂贵的Claude模型**!这正是我们所倡导的:**使用免费claude api加 claude code, 开发编程的经济实用方案**。
|
||||||
|
|
||||||
|
💡 **客户端即服务,想象无限**:"AIClient-2-API" 的核心思想,就是将封闭的客户端能力释放为开放的API。有了它,你便可以自由组合各种工具的能力。就像一位高手所言:"**在tare里用kilo代码助手加cursor的提示词和任意顶级大模型, 用cursur,又何必是cursor**”。
|
||||||
|
|
||||||
|
忘掉那些繁琐的配置和切换吧!"AIClient-2-API" 助你整合资源,专注于创造本身。立即加入,开启你的AI超能力之旅!🚀
|
||||||
|
|
||||||
|
|
||||||
|
|
||||||
|
---
|
||||||
|
|
||||||
|
## **AI资讯日报语音版**
|
||||||
|
|
||||||
|
| 🎙️ **小宇宙** | 📹 **抖音** |
|
||||||
|
| --- | --- |
|
||||||
|
| [来生小酒馆](https://www.xiaoyuzhoufm.com/podcast/683c62b7c1ca9cf575a5030e) | [自媒体账号](https://www.douyin.com/user/MS4wLjABAAAAwpwqPQlu38sO38VyWgw9ZjDEnN4bMR5j8x111UxpseHR9DpB6-CveI5KRXOWuFwG)|
|
||||||
|
|  |  |
|
||||||
|
|
||||||
|
|
||||||
|
|
||||||
Reference in New Issue
Block a user